top of page
ABOUT
SELLERS
Selling Process Overview
Preparing Your Home for Sale
Marketing Plan & Exposure Strategy
Offer Negotiation & Contingencies
Case Studies: Real Seller Success Storie
Closing Process & Timeline
About 1031 Exchange
55+ Property Tax Transfer Benefit
Explore Our Home Staging Portfolio
BUYERS
Buying Process Overview
Neighborhood & Area Insights
Offer Contingencies
Case Studies: Real Buyer Success Stories
Financing & Cost Planning
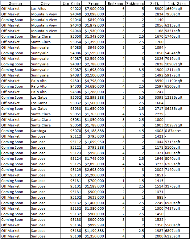
Market Report
TRANSACTIONS
CONTACT
中文
关于我们